Konut Haberleri
31 Ara 2018 11:39
Son Güncelleme: 10 Oca 2019 06:05
MTV zammı belli oldu! Hangi araç ne kadar ödeyecek?
Motorlu Taşıtlar Vergisi bazı gruplar için yeniden değerlemenin altında belirlendi. 2019'da tescil edilecek araçlar için MTV yüzde 15,9 olacak.
Her yıl yeniden değerleme oranı kadar artırılan Motorlu Taşıtlar
Vergisi (MTV) 1 sayılı tarife ile 6. maddesinde yer alan 2 ve 4
sayılı tarifeler ve geçici 8. maddesinde yer alan 1/A sayılı
tarifesindeki araçlar için 2019'da yüzde 15,9 oranında artırılacak.
Diğer araçların MTV'si ise yeniden değerleme oranı olan yüzde 23,73
oranında artırılacak. Cumhurbaşkanı'nın bazı dolaylı vergilere
yönelik artışlarda yeniden değerleme oranına göre artış ya da
azalış yapma yetkisi bulunuyor.
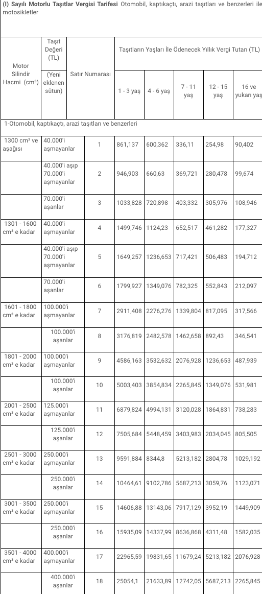
İlgili Cumhurbaşkanı kararı Resmi Gazete'de yayımlandı. Karar gereği, 1 sayılı tarife olan "Otomobil, kaptıkaçtı, arazi taşıtları ve benzerleri" tanımlı taşıtların MTV'si yüzde 15,9 oranında artacak.
6. maddesinde yer alan 2 sayılı tarifede, "minibüs, panel van ve motorlu karavanlar, otobüs ve benzerleri, kamyonet, kamyon, çekici ve benzerleri" tanımlı taşıtlarda da yüzde 15,9 oranında artış olacak.



İlgili Cumhurbaşkanı kararı Resmi Gazete'de yayımlandı. Karar gereği, 1 sayılı tarife olan "Otomobil, kaptıkaçtı, arazi taşıtları ve benzerleri" tanımlı taşıtların MTV'si yüzde 15,9 oranında artacak.
6. maddesinde yer alan 2 sayılı tarifede, "minibüs, panel van ve motorlu karavanlar, otobüs ve benzerleri, kamyonet, kamyon, çekici ve benzerleri" tanımlı taşıtlarda da yüzde 15,9 oranında artış olacak.


